Große Naturwissenschaftformelsammlung und Berechnung


Demo, ohne vollen Funktionsumfang

(C) Alexander Voigts 2025
Die Benutzung des Formulators ist kostenfrei. Sollten Sie an einer Weiterentwicklung interessiert sein, können Sie mich Freitags noch 3 Stunden beschäftigen.

www.yup.de

gratis-besucherzaehler

Übersicht


Mathematik
Physik
Chemie
Verfahrenstechnik
Geologie
Mikrobiologie
Elektrotechnik
Astronomie
Biologie
Hydrologie
Hydrogeologie
Wirtschaft
Statistik
Informatik
Regeltechnik
Zurück zur Homepage

Die einzelnen Fächer:


Mathematik


Geometrie
Algebra
Stochastik
Infinitesimalrechnung
Analytische Geometrie
Komplexe Zahlen
Sphärische Geometrie

Geometrie


Thales
Zentrische Streckung
Pythagoras
Höhensatz und Kathetensatz
Strahlensatz
Berechnungen mit unter anderem dem Sinus
Planimetrie
Stereometrie
Sinushyperbolicus

Thales


Hier folgt ein Java-applet, welches zu einem bestimmten Winkel den Kreisbogen berechnet, bei60° wäre es genau ein Halbkreis

Zentrische Streckung


Hier soll ein Java-applet kommen, welches ein gezeichnetes Objekt vergrößert oder verkleinert.

Pythagoras


Ankathete:


Gegenkathete:


Höhensatz und Kathetensatz


Geben Sie nun die Werte der Hypotenusenabschnitte p und q ein!
siehe Abbildung: Dreieck

p:
q:

Strahlensatz

Strahlensatz

Strecke SA1
Strecke SA2
Strecke SB1
Strecke A1B1

Sinusberechnungen


Berechnung des Sinus

sinus (Winkel)= Gegenkathete / Hypotenuse
Geben Sie genau 2 Werte an!

Gegenkathete:   
Hypothenuse:   
Winkel:   

Berechnung des Cosinus

cosinus (Winkel)= Ankathete / Hypotenuse
Geben Sie genau 2 Werte an!

Ankathete:   
Hypothenuse:   
Winkel:   

Berechnung des Tangens

tangens (Winkel)= Ankathete / Hypotenuse
Geben Sie genau 2 Werte an!

Gegenkathete:   
Ankathete:   
Winkel:   

Planimetrie


Dreiecke
Quadrat
Rechteck
Parallelogramm
Raute
Trapez
Reguläres n-Eck
Kreis
Kreissektor
Kreissegment
Kreisring
Ellipse
Dreiecke

Allgemeine Beziehungen
Rechtwinkliges Dreieck
Gleichschenkliges Dreieck
Gleichseitiges Dreieck
allgemeine Beziehungen

allgemeine Beziehungen
Berechnung aus 2 Seiten und einem Winkel:

Seite a:
Seite b:
Winkel alpha:

Gleichschenkliges Dreieck

a=b alpha=beta

Länge einer der beiden Katheten a=b=
Länge der Hypotenuse =

Gleichseitiges Dreieck
a=b=c alpha=beta=gamma=60°

Seitenlänge a=

Quadrat
Der Schwerpunkt des Quadrates ist der Mittelpunkt Geben sie die Kantenlänge a ein


Rechteck

Seite a:
Seite b:

Parallelogramm

Seite a:
Seite b:
Winkel alpha:

Raute

Seite a:
Winkel alpha:

Trapez

Grundlinie unten a:
Grundlinie oben b:
Beachten sie, dass a>b sein sollte.
Höhe h:

Reguläres n-Eck

Anzahl der Ecken n:
Seitenlänge a:

Kreis

Radius r:

Kreissektor

Radius r:
Winkel phi:

Kreissegment

Kreissegment
Radius r:
Winkel phi:

Kreisring

Kreisring
Außenradius R (R1):
Innenradius r (R2):

Ellipse


große Halbachse:
kleine Halbachse:

Stereometrie


Würfel
Quader
Pyramide
Pyramidenstumpf
Tetraeder
Gerader Kreiszylinder
Gerader Kreiskegel
Gerader Kreiskegelstumpf
Kugel
Kugelsegment
Kugelzone
Kugelsektor
Ellipsoid
Rotationsparaboloid
Torus
Rotationskörper
Würfel

Geben Sie die Kantenlänge a an:
Quader

Länge
Breite
Höhe
Pyramide

Fläche
Höhe
Pyramidenstumpf

Höhe
Grundfläche
Stumpffläche
Tetraeder

Grundfläche
Höhe
Für reguläres Tetraeder:
Seitenlänge
Gerader Kreiszylinder

Radius
Höhe
Gerader Kreiskegel

Radius=
Höhe=
Gerader Kreiskegelstumpf

Radius Grundfläche=
Radius Stumpf=
Höhe=
Kugel

Radius=
Kugelabschnitt, Kugelsegment oder Kugelkappe

Kugelradius =
Höhe der Kugelkappe =
Kugelschicht oder Kugelzone

Kugelradius =
Höhe der Kugelschicht =
Radius 1 (oberer Radius) der kreisförmigen Grundfläche =
Radius 2 (unterer Radius) der kreisförmigen Grundfläche =
Kugelausschnitt oder Kugelsektor

Höhe =
Radius =
Ellipsoid

kürzerer horizontaler Radius =
längerer horizontaler Radius =
vertikaler Radius =
Rotationsparaboloid

Radius der kreisförmigen Grundfläche =
Höhe des Rotationsparaboloids =
Torus

kleiner Radius =
großer Radius =

Rotationskörper

Abstand vom Schwerpunkt der rotierenden Kurve von der Rotationsachse =
Länge der rotierenden Kurve =
Flächeninhalt des rotierenden Stücks =

Sinushyperbolicus


Auch hier kommt ein Java-Applet, welches eine Hyperbolische Funktion zeichnet
Zurück zum Anfang

Algebra


Berechnungen (4 Grundrechenarten mit Klammern)
Potenzrechnung
Wurzelziehen
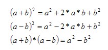
Binomische Formeln
Prozentrechnung
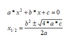
Quadratische Gleichung
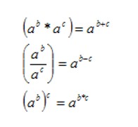
Potenzgesetze
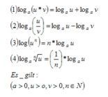
Logarithmusgesetze

Potenzrechnung


  hoch  

Wurzelziehen


 te Wurzel von  

Binomische Formeln


Binomische Formel

Prozentrechnung


  %     

Quadratische Gleichung


Quadratische Gleichung
Geben Sie die Werte ein

für a:
für b:
für c:

Potenzgesetze


Potenzgesetze

Logarithmusgesetze


1. Einfache Logarithmusberechnung

Logarithmus von zur Basis

2. Logarithmusgesetze
Logarithmusgesetze
Zurück zum Anfang

Stochastik


Würfeln
Gauß'sche Glockenkurve
Binomialverteilung

Würfeln


Es ist jeweils zu einem Sechstel wahrscheinlich, dass eine der 6 Zahlen vorkommt.

Gaussche Glockenkurve


z.B. bei der Notenverteilung ist die Gaussche Glockenkurve eine Reichtgröße

Binomialverteilung


Zurück zum Anfang

Infinitesimalrechnung


Mengenlehre
Die Funktion
Folgen
Reihen
Taylor-Reihen
Fourier-Reihen
Grenzwertrechnen
Einfache Ableitungen
Quadratische Ergänzung
HOP TIP und TEP
Ableitung von Brüchen
Kettenregel
L'Hospital
Substitution
Nachdifferenzieren
Kurvendiskussion
Integrieren
Flächenberechnung
Streckenlänge
Integraltabelle
Regel von Simpson
totales Differential
Differentialgleichungen 1. Grades
Mengenlehre
Unter einer Menge versteht manjede Zusammenfassung einer Anzahl einzelner, wohl unterschiedlicher Objekte mit gemeinsamen Merkmal zu einer Gesamtheit. Man sieht eine MEnge als gegeben an, wenn bezüglich eines beliebigen Objektes aufgrund einer Eigenschaft oder Vorschrift geneu eine der Aussagen wahr ist:
das Objekt ist Element der Menge, das Objekt ist nicht Element der Menge.
Eine Menge, die kein Element enthält wird leere Menge genannt und mit 0 bezeichnt.
Es gibt folgende Mengen:
  • N, die Menge der natürlichen Zahlen
  • G, die Menge der ganzen Zahlen
  • D, die Definmitionsmenge
  • W, die Wertemenge
  • die Mengen A und B für die etwas gilt

Beispielsweise: A = {5,3,9,2} , B = {2,4,6,...,2n}
Geben Sie ganze Zahlen durch Kommata getrennt ein, die die Menge A beschreiben!
Geben Sie nun ganze Zahlen durch Kommata getrennt ein, die die Menge B beschreiben!


Die Funktion und ihre Eigenschaften


Unter einer Funktion von einer Variablen versteht man eine Vorschrift, die jedem Element x der Definitionsmenge genau ein Element y der Wertemenge zuordnet. Symbolische Schreibweise y=f(x)
Bezeichnungen:
x: Unabhängige Veränderliche (Variable) oder Argument.
y: Abhängige Veränderliche (Variable) oder Funktionswert.
Allgemeine Eigenschaften

Nullstelle Schnitt bzw. Berührpunkt mit der x-Achse f(x0)=0
Symmetrie: ist , wenn irgendetwas gleich ausschaut
von einer geraden Funktion spricht man bei einer Spiegelsymmetrie zur y-Achse.
f(-x)=f(x)
von einer ungeraden Funktion spricht man, wenn die Funktionskurve punkstsymmetrisch zum Koordinatenursprung ist
f(-x)=-f(x)

Folgen


Folgen sind z.B. Funktionen mit der Definitionsmenge der natürlichen Zahlen.
Unter einer (reellen) Zahlenfolge versteht man eine geordnete Menge reeller Zahlen.
a n = a1. a2. a3, ..... ,an,.... (n ist ein Element der natürlichen Zahlen)
nach Papula

Reihen


Zusammengezählte Folgen

Taylor-Reihen


Fourier-Reihen


Sie spielen einerolle in der Klangerzeugung

Grenzwertrechnen

Eine Funktion y=f(x) sei in einer Umgebung von x0 definiert. Gilt dann für jede im Definitionsbereich der Funktion liegende und gegen die Stelle x0 konvergierende Zahlen folge xn mit xn ist ungleich zu x0 stets limn -> unendlich f(xn) = g , so heisst g der Grenzwert von y=f(x) für x -> x0
limx->x0 f(x) = g
n. Papula


Einfache Ableitungen


Funkionsgraph einer einfachen Funktion

Einfache Kurvendiskussion einer kubischen Funktion

Quadratische Ergänzung


HOP, TIP und TEP


Das sind die Nullstellen der ersten und zweiten Ableitung

Ableitung von Brüchen


Kettenregel


L'Hospital


Substitution


Nachdifferenzieren


Kurvendiskussion


Integrieren


Flächenberechnung


Streckenlänge


Integraltabelle


Regel von Simpson


Totales Differential


Differentialgleichungen ersten Grades


Zurück zum Anfang

Analytische Geometrie


Betrag eines Vektors
Addition
Subtraktion
Skalarprodukt
Kreuzprodukt
Spatprodukt
Ebenen
Zurück zum Anfang

Betrag eines Vektors


x
y
z

Addition eines Vektors


x1
y1
z1
x2
y2
z2

Subtraktion eines Vektors


x1
y1
z1
x2
y2
z2


Skalarprodukt

Multiplikation eines Vektors mit einem Skalar

x
y
z
Skalar
Skalarprodukt aus Vektorbetrag und Winkel phi

Betrag (Skalar) 1
Betrag (Skalar) 2
Winkel phi
Eigentliches Skalarprodukt aus 2 Vektoren

x1
y1
z1
x2
y2
z2

Kreuzprodukt

Der Betrag des Vektorproduktes entspricht dem Flächeninhalt des von Vektor a und Vektor b aufgepannten Parallelogramms

x1
y1
z1
x2
y2
z2

Spatprodukt

ax
ay
az
bx
by
bz
cx
cy
cz

Ebenen


In der Parameterdarstellung
Gegeben:Ein Punkt P1 der Ebene E mit dem Ortsvektor r1 und 2 nicht-kollineare Richtungsvektoren a und b der Ebene
rx
ry
rz
ax
ay
az
bx
by
bz
lambda
mue
Punkt
px
px
px
Normalenvektor für Berechnung einer Ebene senkrecht zu einem Vektor
nx
ny
nz
Abstand eines Punktes von einer Ebenen
qx
qy
qz
Abstand einer Geraden von einer Ebenen
r1x
r1y
r1y
r2x
r2y
r2z


Physik nach Heywang


Mechanik fester Körper
Mechanik der Fluessigkeiten und Gase
Wärmelehre
Schwingungs- und Wellenlehre
Optik
Elektrizitätslehre
Physik der Atomhuelle

Mechanik fester Körper


Physikalische Größen
Bewegungslehre
Dynamik der Kräfte
Gleichgewicht von Kräften
Arbeit, Energie und Leistung
Maschinen
Ergänzende Dynamik
Gravitation
Materialeigenschaften
Zurück zum Anfang

Physikalische Größen


Größen
Messung physikalischer Größen
Größen

1 Newton = 1 N =1kg*m/s^2
1 Meter = 1 m = 100cm
1 Stunde = 1 h = 60 min = 3600 sec
10^12 = Tera
10^9 = Giga
10^6 = Mega
10^3 = Kilo
10^2 = Hekto
10^1 = Deka
10^-1 = Dezi
10^-2 = Zenti
10^-3 = Milli
10^-6 = Micro
10^-9 = Nano
10^-12= Pico
Messung physikalischer Größen
Volumenberechnung
DICHTE

Masse =
Volumen =

Zurück zum Anfang

Bewegungslehre


Geschwindigkeit und Beschleunigung
Freier Fall
Lotrechter Wurf
Zusammengesetzte Bewegungen
Schiefer Wurf
Drehbewegung
Geschwindigkeit und Beschleunigung
Lineare Geschwindigkeit
Geschwindigkeit ist gleich Änderung der Strecke geteilt durch Änderung der Zeit
v= delta s / delta t
Berechnung der linearen Geschwindigkeit:

delta s =
delta t =

Beschleunigung
Die Beschleunigung berechnet sich aus der Geschwindigkeitsänderung durch die Zritänderung
Sie ist die 1. Ableitung der Geschwindigkeit und die 2. Ableitung der Strecke jeweils nach der Zeit

delta v =
delta t =

Berechnung der Geschwindigkeit aus Anfangsgeschwindigkeit, Beschleunigung und Zeit

Anfangsgeschindigkeit v0 =
Beschleunigung a =
Zeit t =


Berechnung der Geschwindigkeit aus Anfangsgeschwindigkeit, Beschleunigung und Weg
Anfangsgeschindigkeit v0 =
Beschleunigung a =
Strecke s =

Freier Fall


Berechnung der Fallgeschwindigkeit auf der Erde aus der Fallzeit in Sekunden
Zeit t in Sekunden


Berechnung der Fallgeschwindigkeit auf der Erde aus der Höhe
Höhe h in Meter

Lotrechter Wurf

Wie hoch kommt ein senkrecht geworfenes Objekt, wie lange dauert das?

Anfangsgeschwindigkeit in m/s
Anfangshöhe h in Meter

Zusammensetzung von Bewegungen

Bewegung1 nach x
Bewegung1 nach y
Bewegung2 nach x
Bewegung2 nach y
Zeit t

Schiefer Wurf

Anfangsgeschwindigkeit in m/s
Winkel alpha
Zeit t/sec.

Kreis- und Drehbewegung

gleichförmige Kreis- und Drehbewegung

Gesamtzeit der Bewegung in s
Radius

beschleunnigte Kreis- und Drehbewegung

Anfangswinkelgescheindigkeit in °/s:
Beschleunigung in °/s²:
Zeit in s:

Zurück zum Anfang

Dynamik der Kräfte


Grundgestz der Dynamik
Beispiele von Kräften

Grundgesetz der Dynamik


Masse des zu bewegenden Körpers in kg:
Beschleunigung in x - Richtung in m/s^2:
Beschleunigung in y - Richtung in m/s^2:
Beschleunigung in z - Richtung in m/s^2:

Beispiele von Kräften

Gewichtskraft
Federkraft
Reibung
Gewichtskraft


Masse des Körpers

Federkraft


Federkonstante D:
s1:
s2:
Reibung


Normalkraft:
Reibungszahl:


Reibungskraft:
Normalkraft:



Gleichgewicht von Kräften

Reaktionsprinzip: Mit dem Auftreten einer Kraft ist stets die Entstehung einer Gegenkraft verbunden, die mit der Kraft gleiche Größe, aber entgegengesetzte Richtung hat


Zerlegung und Gleichgewicht von Kräften im gleichen Angriffspunkt
Drehmoment und Hebelgesetz
Schwerpunkt
allgemeine Gleichgewichtsbedingungen
Gleichgewichtsbedingungen und Bezugssystem
Zerlegung und Gleichgewicht von Kräften im gleichen Angriffspunkt

Parallele Kräfte
Nicht parallele Kräfte
Kräftezerlegung
Rechnerische Bestimmung der Resultierenden mehrerer Kräfte
Prallele Kräfte

Die Gesamtkraft mehrere Kräfte bezeichnet man als ihre Resultierende


Greifen mehrere Kräfte in einem Punkt an, so ist die Resultierende bei gleichgerichteten Kräften ihre Summe, bei entgegengesetzt gerichteten Kräften ihre Differenz


2 Kräfte, die im gleichen Punkt,oder in der gleichen Wirkunglinie angreifen, stehen nur dann im Gleichgewicht , wenn sie gleich groß und entgegengerichtet sind.

Masse1:
Masse2:


Nicht parallele Kräfte

Die Resultierende von 2 an einem Punkt unter einem Winkel angreifenden Kräften erhält man nach Gräöße und Richtung als Diagonale in dem durch die beiden Kräfte bestimmten Parallelogramm

F1x: in N
F1y: in N
F2x: in N
F2y: in N

Kräftezerlegung
Die Teilkräfte einer Kaft sind die x und y - Richtung die mit der Kraft als Resultierende ein Parallelogramm bilden.
Rechnerische Bestimmung der Resultierenden mehrerer Kräfte
Um die resultierende mehrerer Kräfte zu bestimmen, zerlegt man alle Kräfte in einem rechtwinkligen Koordinatensystem in x- und y - Komponenten und bildet daraus die Summe.
Excelformular (Passwort: Eingabe)

Drehmoment und Hebelgesetz
Drehmoment = Kraft * Hebelarm
Der Hebelarm ist die Länge des Lotes vom Drehpunkt auf die Wirkungslinie der Kraft

Radius
Kraft
Winkel alpha


Drehmoment als Vektor

Geben S zunächst den x,y und z-Wert für den Radius ein
RadiusWert
x
y
z

Geben Sie nun den x,y und z-WErt für die Kraft an.
KraftWert
x
y
z

An einem Hebel herrscht Gleichgewicht, wenn die Summe der Drehmomente der rechtsdrehenden Kräfte ebenso groß ist, wie die Summe der links drehenden Kräfte

An einem Hebel herrscht Gleichgewicht, wenn die Summe der Drehmomente 0 ist.
Wirkungen eines Kräftepaars
Ein Kräftepaar erzeugt keine Beanspruchung der Achslager
Drehmoment eines Kräftepaars
Kraft F
Abstand l der Wirkungslinie

Ein Kräftepaar stellt unabhängig von der Lage des Drehpunktes das gleiche Dokument dar
Schwerpunkt

Im Schwerpunkt kann man sich die ganze Masse eines Körpers vereint denken
Allgemeine Gleichgewichtsbedingungen



Alle statisch bedingten Aufgaben eines starren Körpers lassen sich mit den allgemeinen Gleichgewichtsbedingungen lösen
Gleichgewichtsbedingungen und Bezugssystem

Die Summe aller Kraftvektoren, so wie aller Drehmomentsvektoren ergibt 0. Das gilt nur für den Beobachter, der sich im selben Bezugssystem befindet. Es gilt:

Die Gleichgewichtsbedingungen sind vom Bezugssystem abhängig


Des weiteren gilt für Kräfte bei gleichförmig bewegetem Bezugssystem z.B. Aufzug:

In zwei Systemen, die sich gegenseitig mit konstanter Geschwindigkeit verschieben, werden alle Kräfte auf irgendeinen Körper in gleicher Größe gemessen. Durch Kräftemessungen kann also nicht entschieden werden, welches Systemsich bewegt.

Für Kräfte bei beschleunigten Systemen gilt:

In bezug auf ein beschleunigtes System müssenzu den angreifenden Kräften noch die Trägheitskraäfte hinzugefügt werden, damit das Grundgesetz der Dynamik auch in diesem Bezugssystem seine Gültigkeit behält.


Bei G-m*g=0 befindet sich ein Körper im zustand der Schwerelosigkeit.

Beschleunigte Bewegungen können mit hilfe der Gleichgewichtsbedingungen nach dem Prinzip von d'Alembert berechnet werden

Ein Bezugssystem , in dem zur Beschreibung einer gleichförmigen Bewegung keine Trägheitskräfte eingeführt werden müssen, nennt man Inertialsystem.
Ein mit der Erdoberfläche verbundenes Bezugssystem kann man nahezu, weil die Trägheit nicht messbar ist, als Inertialsystem bezeichnet werden.

Arbeit, Energie und Leistung


Energiarten der Mechanik
Satz von der Erhaltung der Energie
Leistung und Wirkungsgrad
Energiearten der Mechanik
Mechanische Arbeit und ihre Berechnung

Mechanische Arbeit wird verrichtet, wenn eine Kraft längs eines Weges einen Widerstand überwindet, sie wird gemessen durch das Produkt aus der Kraft i und dem Weg


Berechnung der Arbeit:

Kraft F in N
Strecke s in m
Winkel alpha in °


Hubarbeit wird verrichtet, wenn ein Gegenstand hochgehoben wird entspricht auch der Energie der Lage

Berechnung der Hubarbeit = potentielle Energie

Masse in kg
Beschleunigung (Erdanziehungskraft) m/s2
Höhe


Beim Verschieben eines Gegenstandes auf horizontaler Ebene muss nur die Reibungskraft auf den Weg überwunden werden. Das ist die sogenannte Verschiebearbeit.

Reibungszahl mü
Masse in kg
Beschleunigung (Erdanziehungskraft) m/s2
Strecke s in m


Nun zur Berechnung der potentiellen Energie einer gespannten Feder

Federhärte
Strecke


Berechnung der kinetischen Energie

Masse
Geschwindigkeit


Satz von der Erhaltung der Energie

Erhaltung der mechanischen Arbeit:


Durch keine mechanische Vorrichtung lässt sich Arbeit geweinnen. Bei Vernachlässigung der Reibungsverluste sind aufgewandte und erzielte Arbeit gleich. Die mechanische Arbeit bleibt erhalten.



Energieerhaltungssatz

Bei keiner Vorrichtung und keinem Vorgang kann Energie erzeugt werden oder verlorengehen. Energie kann nur umgewandelt werden



Delta E = W


Berechnung der Endgeschwindigkeit eines Körpers, der ohne wesentliche Reibung Höhe verliert.
Anfangsgeschwindigkeit m/s^2
Kraft in N
Masse in kg
Strecke in m

Leistung und Wirkungsgrad

Leistung
Momentanleistung
Wirkungsgrad
Leistung
Die (mittlere) Leistung während eines Zeitintervalls ist der Quotient aus der Arbeit und der für sie benötigten Zeit
Leistung
Momentanleistung
Wirkungsgrad
Leistung
Arbeit in Joule
Zeit in Sekunden
Momentanleistung
Kraft in N
Geschwindigkeit in m/s
Wirkungsgrad
Nutzarbeit oder Leistung
zugeführte Arbeit oder Leistung

Maschinen


Ergänzende Dynamik


allgemeine Grundsätze der Dynamik
Kraftstoß, Impuls, Impulssatz
Zentripetal- und Zentrifugalkraft
Corioliskraft
Beschleunigte Drehbewegung um eine Achse
gleichzeitiger Ablauf von Translation und Rotation (Zykloide)
allgemeine Grundsätze der Dynamik

Zusammenfassung der Newtonschen Axiome
Erhaltungssätze
(Ir)Reservibilität
Kausalität
Zusammenfassung der Newtonschen Axiome

Aus dem Trägheitsgesetz geht hervor, dass bei keinem Körper ohne Einwirkung einer Kraft eine Bewegung besteht, sondern dass bei ihm der vorhandene Bewegungszustand erhalten bleibt. Wenn aber an einem Körper Kräfte angreifen, deren Resultierende nicht Null ist, dann entsteht eine Beschleunigung, die sich nach dem Grundgesetz der Dynamik berechnen lä:sst. Das Grundgesetz lässt die Wirkung einer Kraft auf den Körper, an dem sie angreid, berechnen; es macht aber keine Aussage über die Rückwirkung auf den Körper, von dem sie ausgeht. Deshalb benötigt man auch eine Aussage über die Wechselwirkung mehrerer Massen. Diese finden wir im Reaktionsprinzip, wonach jeder Körper, der eine Kraft ausübt, selbst von einer ebenso großen Gegenkraft getroffen wird.

Es ist das große Verdienst Isaac Newtons, in diesen drei Gesetzen die Grundlage der gesamten Mechanik erkannt zu haben. Alle drei Gesetze sind durch die Erfahrung oder durch Experimente gesichert. Newton setzte ihre Gültigkeit in seinem Werk über die mathematischen Prinzipien der Naturwissenschaft (philosophiae naturalis principia mathematica ) voraus und leitete aus ihnen mit mathematischen Hilfsmittelnb alle weiteren Gesetze ab. Auf diese Weise baut sich die gesamte Mechanikauf diesen drei Gesetzen auf. Da ihre Richtigkeit vorausgesetzt, also gleichsam gefordert wird, bezeichnet man sie als die Newtonschen Axiome der Mechanik. (griechisch : axioein = fordern)
Erhaltungssätze

Der Satz von der Erhaltung der Energie gestattet bei reibungsarmen Vorgängen Aussagen zu machen, selbst wenn man den Ablauf der Vorgänge im einzelnen nicht kenn. Der Erhaltungssatz verschafft also einen raschen Übergang über zahlreiche Vorgänge. Dies gilt auchvon anderen Erhaltungssätzen, die in der Physik auftreten. Die tägliche Erfahrung lässt uns z.B. den Satz von der Erhaltung der Masse als nahezu selbstverständliches Gesetz erscheinen. Im folgenden Abschnitt wird ein weiterer Erhaltungssatz aus der Mechanik abgeleitet werden. Auch in anderen Gebieten der Physik gibt es noch Erhaltungssätze, die bei der Forschung vor allembei der über die Elementarteilchen(der kleinsten Teilchren, aus denen sich alle MAterie und Energie zusammensetzt) eine große Bedeutung erlangt haben.
(Ir)Reservibilität

Nach dem Satz der Energie wird die Arbeit, die aufgewendet wird, um einen Körperreibungslos von einem Punkt an einen anderen zu bringen, in kinetische und potenzielle Energie umgewandelt. Wenn der Körper zum Ausgangspunkt zurückgebracht wird, werden die Energien wieder frei, so dass der ursprüngliche Zustand wieder entsteht. Ein solcher Vorgang ist umkehrbar und reversibel. Dies gilt aber nicht mehr, wenn ein Teil der aufgewandten Arbeit nicht als potentielle oder kinetische Energie gespeichert wird, lässt sie sich nicht mehr in mechanische Arbeit zurückverwandeln. Dann lässt sich ein Vorgang nicht mehr umkehren, er ist irreversibel. Da alle wirklich ablaufende Vorgänge mit Reibung verbunden sind, verlaufen sie irreversibel, so dass es streng genommenkeine reversiblen Vorgänge gibt.
Kausalität

Wenn sich zwei Körper im gleichen Zustand befinden und an ihnen die gleichen Kräfte angreifen, so entsteht bei ihnen auch der gleiche mechanische Vorgang. Diese Erkenntnis kann man in folgendem Satz formulieren:
Gleiche Ursachen haben stets gleiche Wirkungen.
Da die mechanischen Gesetze bekannt sind,müsste man aus einem Anfangszustand , bei dem alle Eigenschaften und Begleitumstände bekannt sind, den Folgezustand berechnen können. Lediglich die Unmöglichkeit die Begleitumstände hinreichend zu erfassen, verhindert eine sichere Voraussage . Diesen Zusammenhang zwischen Ursache und Wirkung bezeichnet man als Kausalität (lat.: causa = Ursache). Sie ist nicht nur in der MEchanik, sondern in der ganzen Physik erfüllt, wenn die beteiligten Körper nicht zu kleine Massen besitzen und wenn nicht zu kleine Energiebeträge ausgetauscht werden.
Im atomaren Bereich oder bei spezielleren Vorgängen kann über das Gesetz der Kausalität nicht mehr alles erfasst werden.
Kraftstoß, Impuls, Impulssatz
Zentripetal- und Zentrifugalkraft
Corioloskraft
Beschleunigte Drehbewegung um eine Achse
gleichzeitiger Ablauf von Translation und Rotation (Zykloide)

Gravitation

Materialeigenschaften

Mechanik der Flüssigkeiten und Gase

Wärmelehre

Schwingungs - und Wellenlehre

Optik

Elektrizitaetslehre


Elektrische Grunderscheinungen
Elektrostatik
Elektrizitätsleitung in Metallen
Elektrizitätsleitung in Elektrolyten
Elektrizitätsleitung in Vakuum und Gasen

Elektrische Grunderscheinungen


Ruhende Ladung
Bewegte Ladung
Ruhende Ladung
  1. Gleichnamige Ladungen stoßen sich ab, ungleichnamige ziehen sich an
  2. Die Kräfte nehmen mitwachsendem abstand stark ab.

Elektronenmangel ergibt eine positive, Elektronenüberrschuss eine negative Ladung
Messen kann man die Ladung mit dem Elektroskop!
Bewegte Ladung

Bewegte Ladungen stellen einen Strom dar.

Das Ampere ist die Stärke eines zeitlich unveränderlichen Stromes, der durch 2 im Vakuum im
Abstand von 1 Meter voneinander angeordnete geradlinige, unendlich lange Leiter von je
vernachlässigbar kleinem kreisförmigen Querschnitt fließend, zwischendiesen Leitern je 1 MeterLeiterlänge die Kraft 2* 10^-7 Newton hervorruft.

Ladung Q in Coulomb
Zeit t in Sekunden

Physiik der Atomhülle




Chemie


Grundlagen der Stöchiometrie (Molberechnungen)
Aufstellen von Reaktionsgleichungen
OrganikABC

Grundlagen der Stöchiometrie


Molare Masse
Stoffmenge
Masse
Konzentration
molares Volumen

Molare Masse



Masse m =
Stoffmenge n =

Stoffmenge

aus Masse und molarer Masse

Masse m =
Molare Masse M =
aus Konzentration und Volumen

Volumen V =
Konzentration c =

Masse


Konzentration


Molares Volumen

Aufstellen von Reaktionsgleichungen


Salze

Salze


Kathionen
Annionen


Verfahrenstechnik


Allgemeine Grundlagen
Mechanische Strömungslehre
Lagern und Speichern
Kennzeichnung, Zerkleinerung und Transport von Feststoffen
Technische Strömungslehre
Fördern von Flüssigkeiten und Gasen
Trennen disperser Systeme
Mechanische Stoffvereinigung
Wärmeübertragung
Beheizen und Kühlen
Stoffübertragung
Trocknung
Destillation
Sorption
Extraktion
Stoffumwandlung in Reaktoren

Allgemeine Grundlagen


Allgemeine Formelzeichen
Stoff- Wärme und Inpulsübertragung
Ähnlichkeitslehre
Diskontinuierliche und Kontinuierliche Betriebsweise
Stoff- und Energiebilanzen
Zurück zum Anfang

Allgemeine Formelzeichen

Allgemeine Formelzeichen
Stoff- Wärme und Impulsübertragung

Konvektionsströme
Leitströme
Übergangsströme
Konvektionsströme

Hier gilt: Konvektionsstrom = Dichte x Fläche x Strömungsgeschwindigkeit
Berechnung eines Massestromes

Dichte roh des Stromes:
dafür benötigt man die Masse in kg:
und das Volumen V in m^3:

Fläche A in m^2:
Geschwindigkeit w in m/s:

Berechnung des Komponentenstroms

Konzentration c des Stromes:
dafür benötigt man die spezifische Stoffmenge ni in kmol:
und das Volumen V:
Fläche A :
Geschwindigkeit w in m/s:

Berechnung des Wärmestroms

Dichte roh
spezifische Wärmekapazität bei konstantem Druck cp
Temperatur T in Kelvin
Fläche A
Geschwindigkeit w in m/s:

Mechanische Strömungslehre


Stoffeigenschaften von Flüssigkeiten und Gasen
Hydrostatik
Aerostatik
Inkompressible Strömungen
Kompressible Sttrömungen
Strömungsmeßtechnik
Stoffeigenschaften von Flüssigkeiten und Gasen

Dichte
Schallgeschwindigkeit
Viskosität
Thermische Stoffwerte
Oberflächenspannung und Kapillarität
Dichte

Definitionen
Dichte von Flüssigkeiten
Dichte von Gasen und Dämpfen
Dichte von Luft
Definitionen


Masse:
Volumen:


Dichteänderung
isothermer Kompressibiltätskoeffizient
isobarer Wärmeausdehnungskoeffizient
Druckänderung
Temperaturänderung


Der Kehrwert der Dichte wird als spezifisches Volumen bezeichnet.

Dichte

Dichte von Flüssigkeiten

Die Temperaturabhängigkeit der Dichte kann durch den isobaren Wärmeausdehnungskoeffizienten beta p ausgedrückt werden.
Masse
Volumen bei 0°C
Temperaturabweichung zur Bezugstemperatur

Anderer isobarer Wärmeausdehnungskoreffizient einer oben nicht aufgeführten Flüssigkeit

Flüssigkeiten besitzen wie feste Körper eine geringe Elastizität.
Nimmt man nach dem Hookeschen Gesetz einen linearen Zusammenhang zwischen Volumen- und Druckänderung an, kann man die Dichte bei bestimmten Druck berechnen!
roh 0: Dichte beim Bezugsdruck p
beta t: isothermer Inkompressibilitätskoeffizient
delta p: Druckerhöhung
Dichte von Gasen und Dämpfen


Hydrogeologie


Niederschlag
Verdunstung

Niederschlag


Wasserbilanzgleichung
Gebietsniederschlagshoehe mit Hilfe von Thiessen Polygonen
Niederschlagshoehen mit Isohyeten

Wasserbilanzgleichung (hydrologische Grundgleichung)



Verdunstung vom Boden oder freien Wasserflächen =
Abfluß =
Modifizierte Grundgleichung

Oberirdischer Abfluß (Bäche, Flüsse, usw.)
V = Verdunstung
Unterirdischer Abfluß, Anteil am Abfluss, der in den Untergrund und in das Grundwasser übergeht
Haben Sie für den unterirdichen Abfluß schon einen Wert , so werden folgende Werte ignoriert
R = Rücklage, Vergrößerung eines Wasservorrats eines Gebiets für eine bestimmte Zeitspanne
(=Zunahme des Grundwasservorrats)
B = Aufbrauch, Verkleinerung des Wasservorrats eines Gebites für eine bestimmte Zeitspanne
(=Abnahme des Grundwasservorrats)
Wasserbilanzgleichung nach LIEBSCHER

V = Verdunstung
Ao= oberirdischer Abfluß
Zo= oberirdische Zuflüsse

Gebietsniederschlagshöhen


Anzahl der Meßstationen:

Niederschlagshöhen in Gebieten mit starkem Oberflächenrelief

Isohyeten-Karten - Methode

Zunächst benötigen Sie die Niederschlagshöhen der benachbarten Isohyeten (N2 < N1)

N1 =
N2 =
F = Gesamtfläche zwischen den Isohyeten N1 und N2 =
Fn = Teilfläche der Gesamtfläche (Anpassung ans Relief) =

Verdunstung



Wirtschaft


Grundwissen Industriekaufleute
Grundlagen der Wirtschaft alphabetisch

Grundwissen Industriekaufleute


wirtschaftliche Zielsetzungen

wirtschaftliche Zielsetzungen


Rentabilität


Gewinn =
eingesetztes Kapital =

Wirtschaftlichkeit


Wert der Leistung (Umsatz)=
Kosten des Einsatzes =

Produktivität


mengenmäßige Ausbringung z.B. Gesamtwerkstunden =
mengenmäßiger Einsatz z.B. Anzahl der Arbeiter =

Grundlagen der Wirtschaft alphabetisch


ABC-Analyse
Abschreibungen
Aktien
Angebotsvergleich
Annuitätenmethode
Äquivalenzziffernkalkulation
BAB (Betriebsabrechnungsbogen)
Barwertmethode
Baufinanzierung
Bestellmenge
Bezugsrecht
Bilanzkennzahlen
Break-even-Analyse
Cashflow
Darlehen
Deckungsbeitragsrechnung
Differenzkalkulation
Diskontrechnen
Dreisatz
Effektivzins
Festverzinsliche Wertpapiere
Handelskalkulation
Herstellkosten
Indexzahlen
Industrielle Kalkulation
Interner Zinsfuß
Investitionsfinanzierung
Investitionsrechnungen
Kalkulatorische Kosten
Kapitalrückflussrechnung
kaufmännische Zinsrechnung
Kennzahlen
Kurs-Gewinn-Verhältnis
Kommissionsgeschäfte
Kontokorrentkredit
Kosten und Beschäftigung
Lagerkennzahlen
Leasing
Lohnformen
Mittelwerte
Produktivität und Wirtschaftlichkeit
Prozentrechnung
Prozesskostenrechnung
Rentabilität
Return on Investment (ROI)
Rückwärtskalkulation
Statistik
Stichproben
Streuungsmaße
Target Kosting
Terminrechnung
Trendanalyse
Umsatzentwicklung und Umsatzanalyse
Verteilungsrechnung
Vorkalkulation
Währungsrechnen
Wertschöpfungsrechnen und Shareholder Value
Zinsen
Zinseszinsrechnen
Zuschlagsrechnung
Wichtige Formeln im Überblick

Betriebsabrechnungsbogen


BAB Excel-Datei
Passwort = test

Zurück zum Anfang

Applettest

JavaScripttest

SVG-Test

Informatik


Zahlensysteme
Logik
Größen, Formelzeichen und Einheiten"
Akustik
Optik
Taktfrequenz

Zahlensysteme


dezimal->binär
dezimal->hexadezimal
binär->dezimal
binär->hexadezimal
hexadezimal->dezimal
hexadezimal->binär

dezimal -> binär


Geben Sie eine natürliche Zahl ein:


Logik


Wahrheitstabellen
Rechenregeln

Wahrheitstabellen





Rechenregeln


Rechenregeln zur Aussagenlogik

Größen, Formelzeichen und einheiten


Akustik


Optik


Taktfrequenz

Regeltechnik


In der Regeltechnik soll der Istwert durch eine Stellgröße einem Sollwert angeglichen werden.
Dabei können Störgrößen, wie Dunkelheit, Reibung oder Konfliktpotential z.B. durch Entgegensteuern vermieden werden.